Xuất khẩu dệt may sang Mỹ tăng mạnh
Xuất khẩu mặt hàng dệt may sang thị trường Mỹ quý I/2022 đạt 4,3 tỷ USD, tăng 24,1% so với cùng kỳ năm trước, chiếm 16,8% tổng trị giá xuất khẩu.
| Xuất khẩu hàng hóa sang Mỹ quý I/2022 đạt gần 26 tỷ USD Việt Nam trở thành đối tác thương mại lớn thứ 10 của Mỹ Mỹ tiếp tục là thị trường xuất khẩu lớn nhất của Việt Nam |
![]() |
| Quý I/2022, xuất khẩu mặt hàng dệt may sang Mỹ tăng 24,1% so với cùng kỳ năm trước |
Theo số liệu thống kê của Tổng cục hải quan, kim ngạch xuất khẩu hàng hóa Việt Nam sang thị trường Mỹ trong tháng 3/2022 đạt 9,7 tỷ USD, tăng 50,3% so với tháng trước đó. Tính chung 3 tháng đầu năm 2022 đạt 25,9 tỷ USD, tăng 16,7% so với cùng kỳ năm trước.
Trong 3 tháng đầu năm 2022, dẫn đầu kim nghạch xuất khẩu là nhóm hàng máy móc, thiết bị, dụng cụ và phụ tùng đạt 4,3 tỷ USD, chiếm 16,8% tỷ trọng xuất khẩu.
Đứng thứ 2 là mặt hàng dệt may đạt 4,3 tỷ USD, tăng 24,1% so với cùng kỳ năm trước, chiếm 16,8% tổng trị giá xuất khẩu.
Tiếp đến là nhóm hàng máy vi tính sản phẩm điện tử và linh kiện đạt 3,3 tỷ USD, tăng 15,8%, chiếm 12,7% tỷ trọng xuất khẩu.
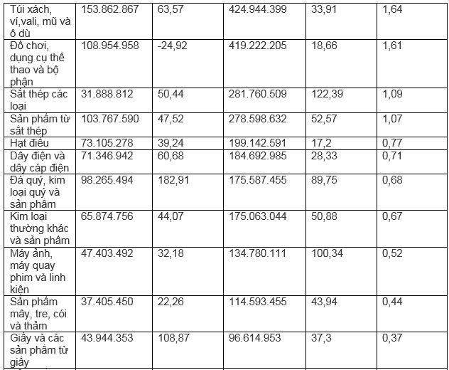
Những mặt hàng có kim ngạch xuất khẩu tăng trưởng trong 3 tháng đầu năm 2022 so với cùng kỳ năm 2021: Hàng thủy sản tăng 71,4%; sắt thép các loại tăng 122,3%; đá quý kim loại quý và sản phẩm tăng 89,7%; máy ảnh máy quay phim và linh kiện tăng 100,3%.
Mỹ hiện đang dẫn đầu các thị trường xuất khẩu của Việt Nam. Trong khi đó, Việt Nam đã trở thành đối tác thương mại lớn thứ 10 của Mỹ và là một mắt xích quan trọng trong chuỗi cung ứng nhiều loại hàng hóa cho thị trường Mỹ.
Trong số các mặt hàng xuất khẩu của Việt Nam sang Mỹ, nông sản, thuỷ sản, đồ nội thất, trang trí… chiếm vị thế hết sức quan trọng. Bởi lẽ, đây là các nhóm mặt hàng thế mạnh của Việt Nam và Mỹ có nhu cầu lớn.
Số liệu xuất khẩu hàng hóa Việt Nam sang Mỹ 3 tháng năm 2022
![]() |
![]() |
![]() |
![]() |




